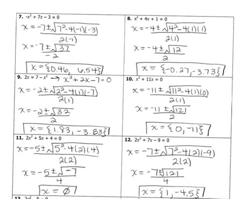
Quadratic Equation Answer Key

Quadratic Equation Answer Key. Solve the equation using the quadratic formula. The solution of quadratic equations has a long history in mathematics going back several thousand.

Analyzing Graphs Of Quadratic Functions Sae Worksheet Answers
Analyzing Graphs Of Quadratic Functions Sae Worksheet Answers from www.quadraticworksheet.com

We can use the quadratic formula to solve for the variable in a quadratic equation,. 2x2 + 9x − 5 = 0. Completing the square (intro) worked example:

They Have Kindly Allowed Me To Create 3 Editable Versions Of Each.


Web example 9.4.1 how to solve a quadratic equation using the quadratic formula. For example, equations such as 2 x 2 + 3 x − 1 = 0 and x 2 − 4 = 0 are quadratic. 1) m2 − 5m − 14 = 0 2) b2 − 4b + 4 = 0 3) 2m2 + 2m − 12 = 0 4) 2x2.

Web This Is A Quadratic Equation, Rewrite It In Standard Form.


Completing the square (intro) worked example: 2x2 + 9x − 5 = 0. Web solve \(4y^2−5y−3=0\) by using the quadratic formula.

Solve The Equation Using The Quadratic Formula.


Identify the values of a, b, c. Web in a quadratic equation, x represents an unknown form, and a, b, and c are the known values. The equation is of the.

Web Solve By Completing The Square:


Completing the square (leading coefficient ≠ 1) solving quadratics by completing the square: Web this is a quadratic equation, rewrite it in standard form. Solve by using the quadratic formula:

The Graph Of A Quadratic Function Is A Parabola.


Web a quadratic function is a polynomial function of degree two. \(ax^2 + bx + c = 0\) factor the quadratic expression. We can use the quadratic formula to solve for the variable in a quadratic equation,.